端板对二维矩形风洞试验模型气动特性的影响
Effects of end plates on aerodynamic force of rectangular prisms in wind tunnel test
-
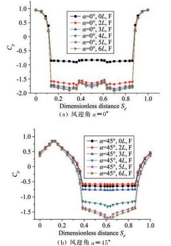
摘要: 在节段模型风洞试验中,两端设置端板可以有效减小端部效应对风压分布的影响,从而保证气流在模型周围的二维流动,其中端板尺寸是影响端板效果的主要参数。为了明确不同尺寸端板对矩形断面气动特性的影响,以桥梁节段模型中最常见的3种宽高比(B/H分别为1、5和10)的二维矩形断面为研究对象,通过刚性模型测压试验,研究了端板尺寸对各模型的气动力、风压分布和斯托罗哈数St的影响。研究结果表明:模型的端部效应不仅仅对端部附近的风压有影响,对中间位置处风压的影响也不容忽视,设置端板是获得准确试验结果的重要保证;随着断面宽高比(B/H)逐渐增大,端部效应影响的程度和范围逐渐减小;随着端板尺寸的增大,模型背风面风压绝对值逐渐增大并趋向一稳定值;抑制端部效应的最小端板尺寸与结构的风迎角有关,风迎角增大,所需的端板也相应增大;有无端板对斯托罗哈数St也有明显影响。Abstract: It is commonly accepted that end plates can reduce the influence of flow on both ends to ensure nominally two-dimensional flow in the section-rigid model tests in wind tunnels. One of the governing parameters is the size of the end plate. In order to reveal the effects of end plates on the aerodynamic force distribution on the rectangular prisms which corresponds to the bridge cross-section with three side ratios of 1, 5 and 10, the variations of aerodynamic force, wind pressure coefficients and St with the size of end plates are discussed based on the data from rigid model pressure tests. The results indicate that the free ends of a cylinder have obvious impact on the wind pressure distribution not only near the ends but also in the middle. The influenced region of the cylinder becomes smaller with increasing side ratio. End plates can strengthen the suction on the leeward side. As for the larger angle of attack, the larger end plate is needed to keep the nominally two-dimensional flow. The size of the end plate also has important effect on the Strouhal number of all three models.



下载:
