Abstract:
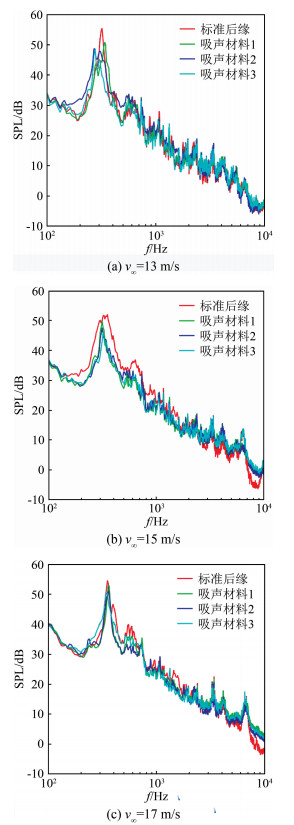
In the configuration of Blended Wing Body (BWB) aircraft, the noise effect of engine on the ground can be reduced by using the shielding effect of engine components on engine noise sources. According to the mechanism that the sound-absorbing materials with gradual distribution of flow resistance can effectively suppress the vibration velocity of particles caused by the sudden change of sound pressure in the edge effect, a new type of trailing edge with gradual flow resistance is proposed to further suppress the noise of BWB engine on the ground. Therefore, the simplified model of NACA0012 airfoil + side cylinder is used to simulate the configuration between the fused wing-body airframe and the back engine in a 0.55m×0.4m acoustically guided wind tunnel with full anechoic environment, and the effects of the trailing edge of airfoil filled with three kinds of sound-absorbing materials with different flow resistivity on the diffraction noise of side noise sources are discussed from the perspective of classical acoustics and aeroacoustics respectively. The different influence of different airfoil trailing edges on the sound field noise of the other side is analyzed under different incoming wind speeds. The results show that the sound pressure level of the noise can be reduced by about 5 dB at most when the side noise source is shielded by airfoil; When the standard trailing edge is replaced by three different trailing edges with gradual flow resistance, the diffraction noise in the noise composition is additionally suppressed to some extent, thus further reducing the noise. The noise reduction effect is positively related to the flow resistivity, and the sound-absorbing material with the largest flow resistivity has the best noise reduction effect, which can further reduce the noise sound pressure level by about 3 dB. It is also speculated that in the range of flow resistivity of sound-absorbing materials from 0 to ∞, the noise reduction effect increases firstly, and then decreases with the increase of flow resistivity.