滑流对飞机俯仰静稳定裕量影响及平尾优化研究

Propeller slipstream effect on pitching static margin of airplane and optimization of horizontal tail

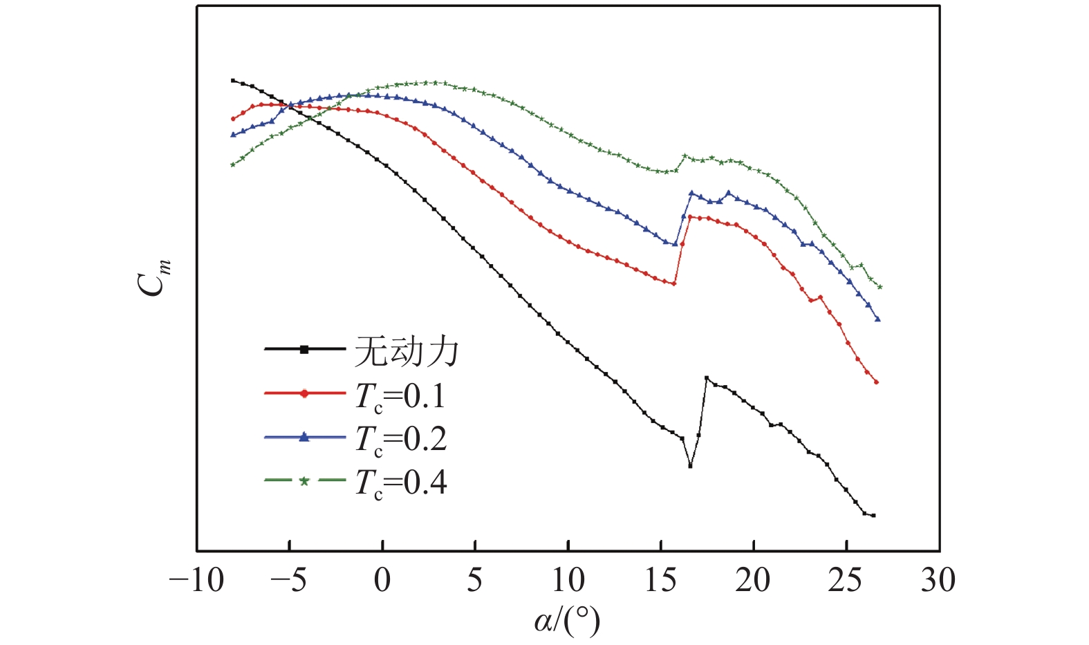
  • 摘要: 螺旋桨飞机的滑流是影响飞机气动性能的重要因素。某飞机初始方案试验数据表明:在起降构型大拉力情况下,该机存在中小迎角俯仰静不稳定现象,严重影响飞机飞行安全。为提高飞机中小迎角俯仰静稳定裕量,通过对飞机气动数据的深入研究,对俯仰静稳定裕量降低的原因进行了分析,结果表明:中小迎角出现俯仰静不稳定的主要原因是迎角变化过程中平尾进出滑流影响区,导致平尾效能出现明显变化。结合飞机布局特点,提出了降低平尾高度的方法,减小动力不利影响。经试验验证,该方法能明显改善飞机中小迎角下俯仰静稳定性,有效扩展飞机小迎角俯仰稳定范围,使其满足总体设计要求。

     

    Abstract: Propeller slipstream has an important effect on the airplane's aerodynamic characteristics. The wind tunnel test indicates that under the condition of large pulling force, the airplane under study has longitudinal static instability at small angle of attack which affects the safety of aviation seriously. The test research on slipstream shows that the longitudinal static instability at small angle of attack is mainly caused by the horizontal tail doing the traverse progress in the slipstream, which induces the horizontal tail's efficiency to change obviously. With the layout characteristics under consideration, it is advised to reduce the height of the horizontal tail to reduce the power's adverse effects. The test proves that reducing the height of the horizontal tail can improve the longitudinal static margin at small angle of attack obviously, and enlarging the range of the longitudinal static stability.

     

/

返回文章
返回