航空工业1 m量级高超声速风洞设计与建设进展

Design and construction progress of AVIC Φ1.0 m hypersonic wind tunnel

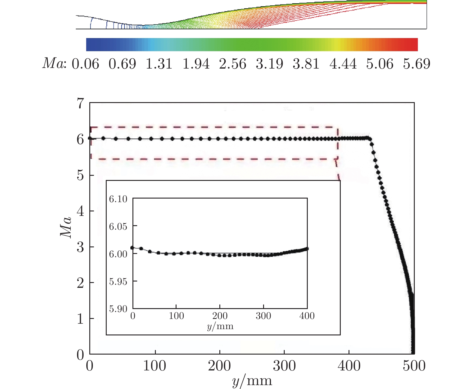
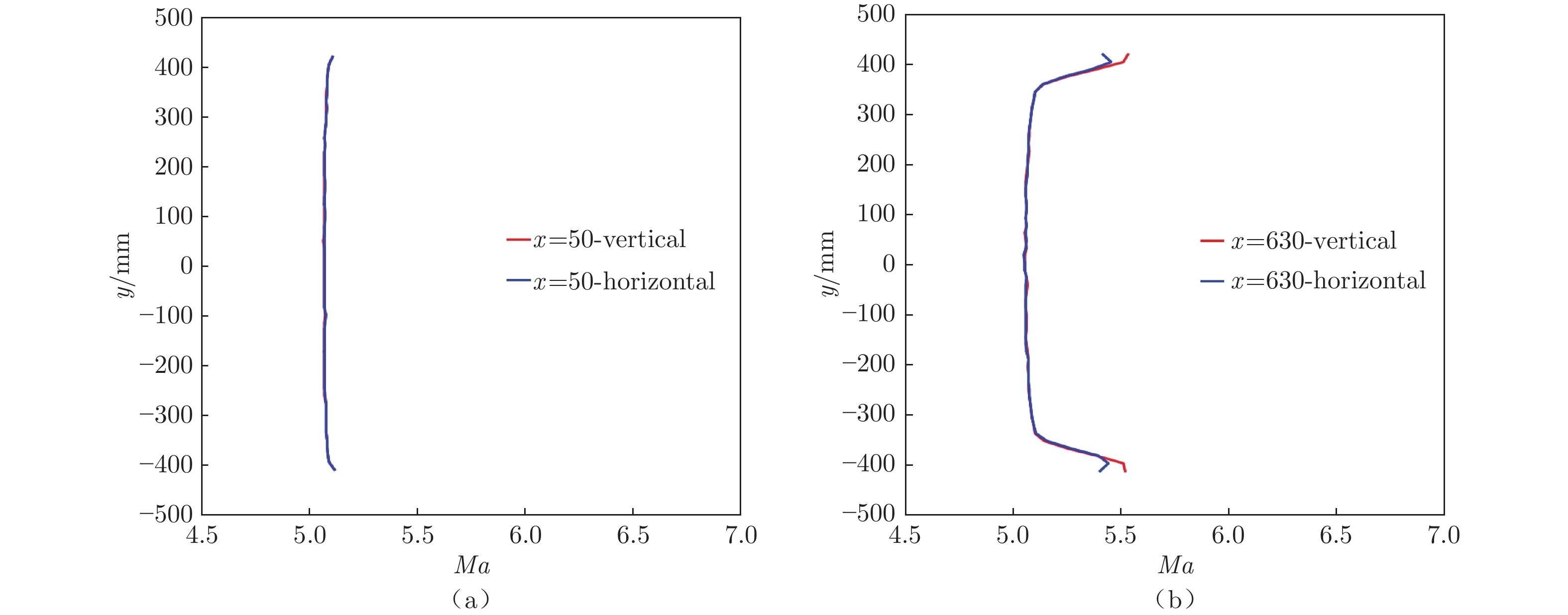
  • 摘要: 航空工业1 m量级高超声速风洞(FL-64)是国内最新建设的一座暂冲自由射流式大口径常规高超声速风洞,采用吹引式运行方式,同时考虑到低动压试验需要,另建有真空抽气系统。详细介绍了FL-64风洞的总体性能指标、关键部段设计、流场校测和标模试验结果。风洞性能指标如下:模拟马赫数范围4.0~8.0;总压范围0.1~8.0 MPa;总温范围300~900 K;单位雷诺数范围3.3×106~4.6×107 m–1;有效运行时间不小于30 s。FL-64风洞与航空工业亚跨超三声速风洞(FL-60)可形成高低马赫数搭配,涵盖马赫数0.3~8.0的宽速域高超声速飞行器试验需求,特别是马赫数4.0的总焓模拟能力可与真实飞行条件匹配,为我国高马赫数飞行器研制提供有效的气动试验平台。

     

    Abstract: The 1 m hypersonic wind tunnel for the AVIC (FL-64) is the newly built blow down free jet type large-diameter conventional hypersonic wind tunnel in China. It adopts the blowing type operation mode, at the same time, considering the test requirements of low dynamic pressure, a vacuum exhaust system is also equipped. The overall performance, key component design, flow field calibration and preliminary standard model test results of the FL-64 wind tunnel are presented in detail. The performance of the wind tunnel are as follows: the range of Mach number: 4.0 – 8.0; the total pressure range of the settling chamber: 0.1 – 8.0 MPa; the total temperature range of the settling chamber: 300 – 900 K; the unit Reynolds number range: 3.3×106 – 4.6×107 m–1; the effective operating time is not less than 30 s. The FL-64 wind tunnel combined the FL-60 trisonic (Subsonic, Transonic, Supersonic) wind tunnel forming the high and low Mach number range, this can cover the wide-speed range aircraft test with a Mach number of 0.3 – 8.0. Especially the duplication capability of the total enthalpy of Mach number 4.0 can match the real flight conditions. Overall, the successful completion of the FL-64 wind tunnel provide an effective test platform for the development of nation’s high Mach number aircraft.

     

/

返回文章
返回