高速铁路隧道内压缩波模拟实验装置初步研究

Experimental investigation on tunnel pressure wave of high-speed train

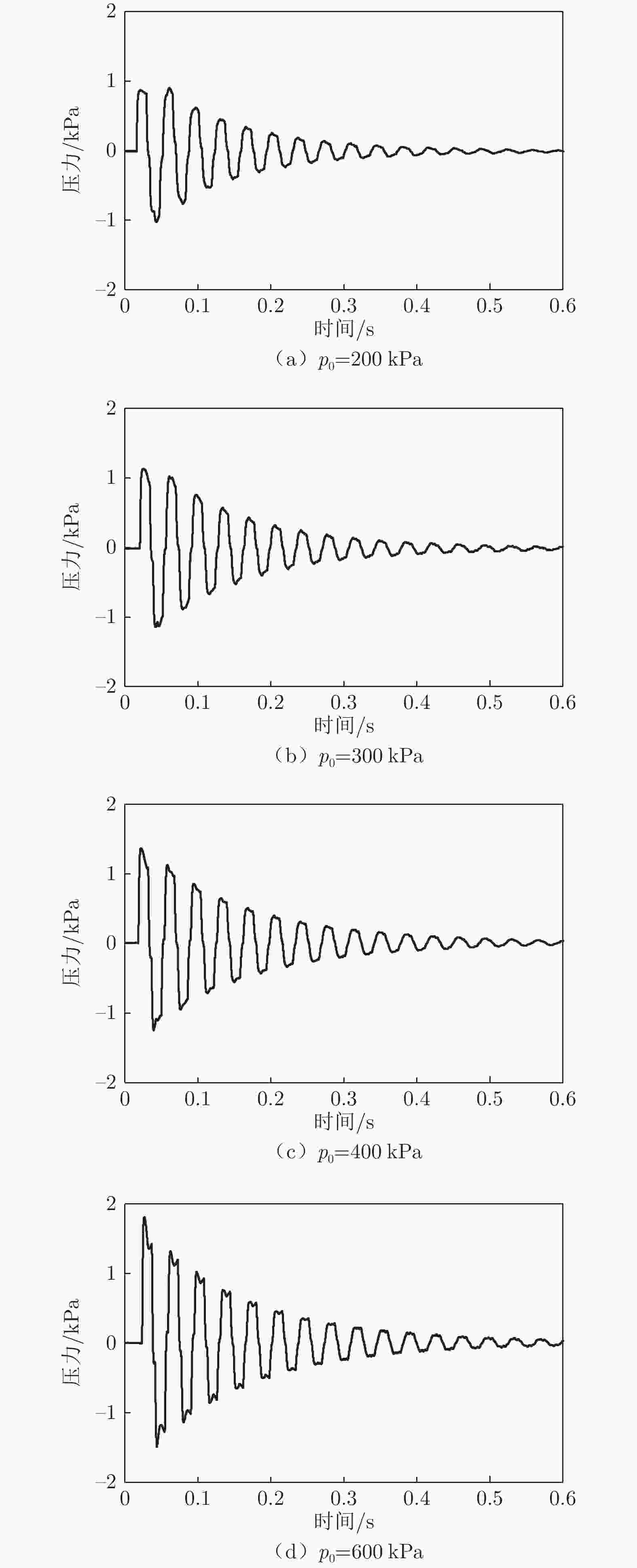
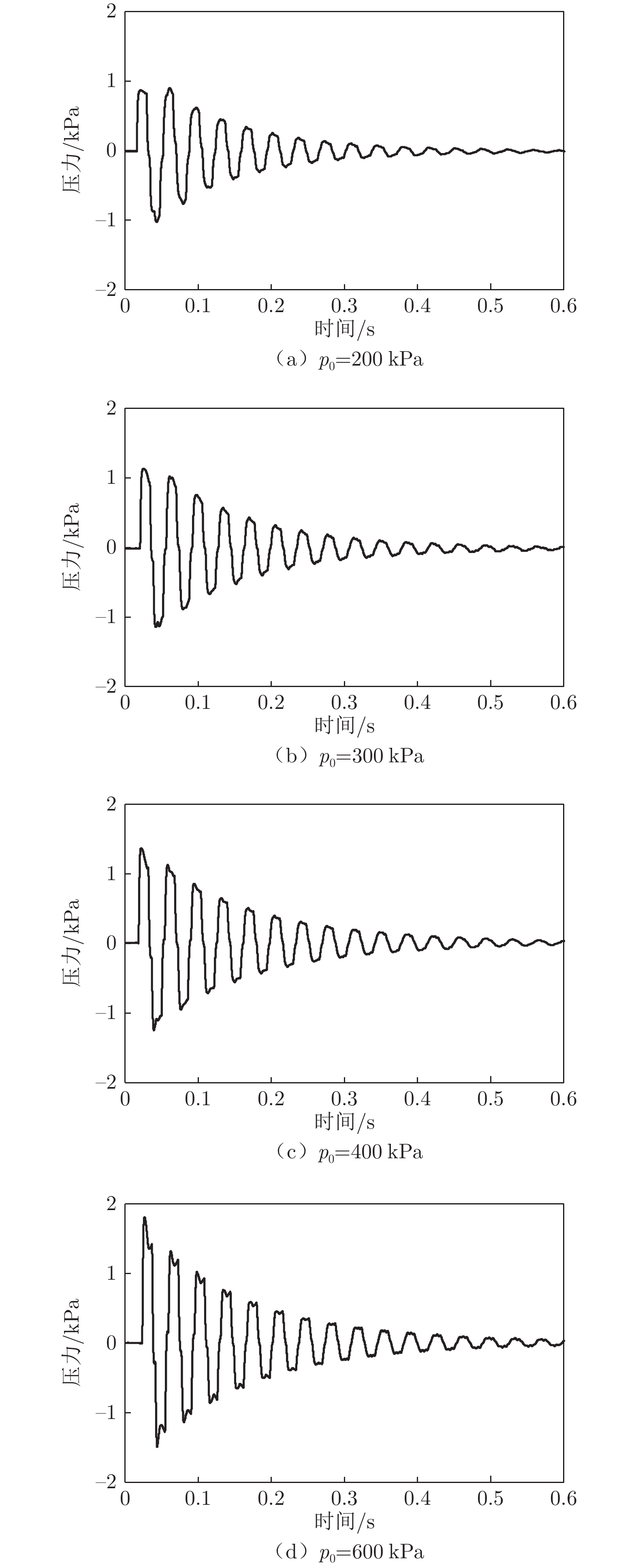
  • 摘要: 高速列车驶入隧道时会产生初始压缩波,其沿隧道纵向传播至出口时会向隧道外辐射形成微气压波。本文搭建了利用高压空气瞬间释放产生初始压缩波的实验装置,对其产生的压缩波开展了实验研究。介绍了实验装置的组成,分析了隧道内压力时程曲线及形成机理,给出了实验装置各参数对初始压缩波的影响规律,对压缩波的后续衰减过程进行了分析。实验结果表明:隧道内的压力波动主要受隧道出入口的反射波影响;通过改变实验装置相关参数能够对初始压缩波的波形进行调节;不同高压腔初始压力下,压缩波的衰减周期相同,但初始幅值越大,相同时间内压力衰减得越快。

     

    Abstract: When a high-speed train enters a tunnel, an initial compression wave occurs and radiates to the outside of the tunnel to form a micro pressure wave when it propagates longitudinally along the tunnel to the exit. An experimental device for generating the initial compression wave by the instantaneous release of high-pressure air was built, and the experimental research on the compression wave generated by it was carried out. Firstly, the composition of the experimental device was introduced, and the pressure time history curve and formation mechanism in the tunnel were analyzed. Secondly, the influence of the parameters of the experimental device on the initial compression wave was drawn out. The subsequent attenuation process of the compression wave was studied at last. The experimental results show that the pressure fluctuation in the tunnel is mainly affected by the reflected wave at the tunnel portal. The amplitude, gradient and positive peak value of the initial compression wave can be adjusted by changing the relevant parameters of the experimental device. The attenuation period of the compression wave is the same under different initial pressures of the high-pressure chamber, but the larger the initial amplitude is, the faster the pressure decays in the same time period.

     

/

返回文章
返回