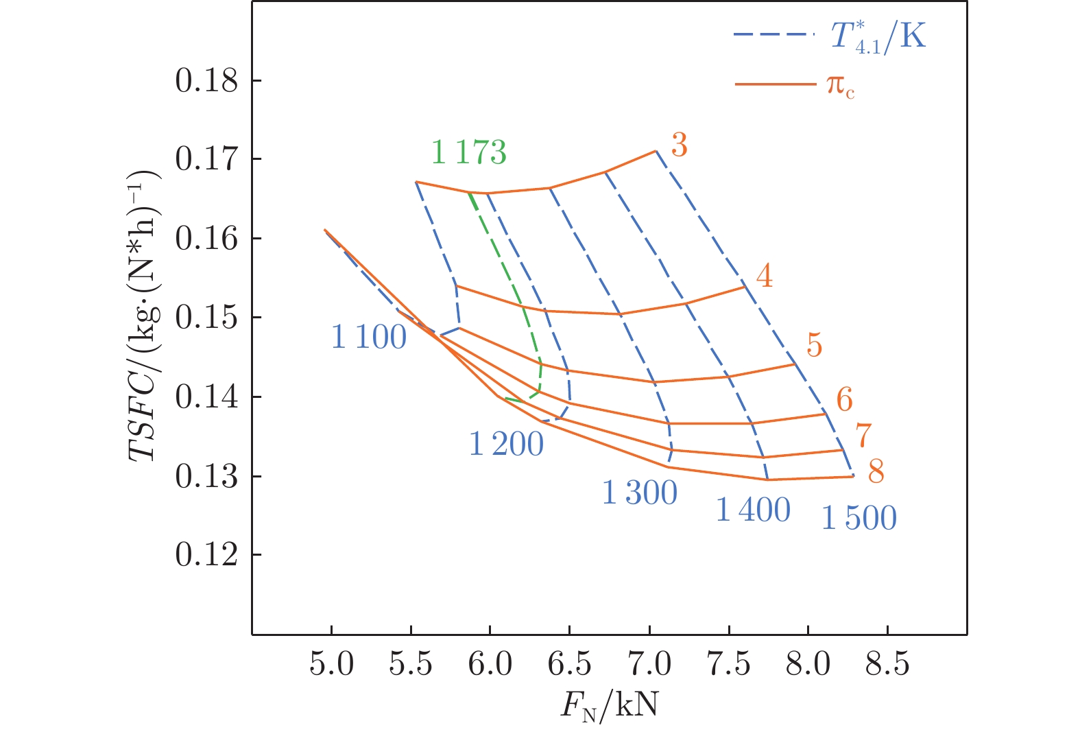
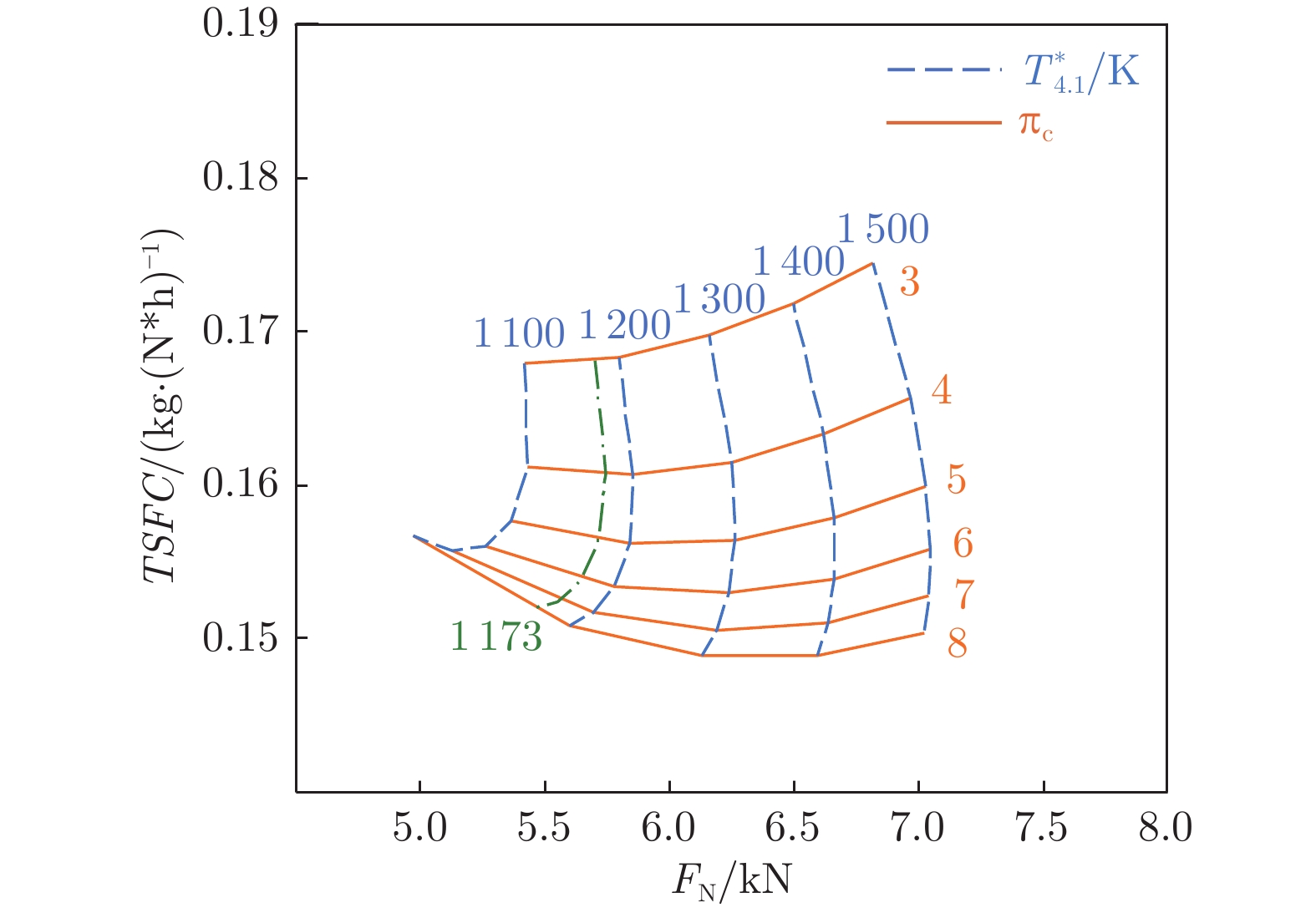
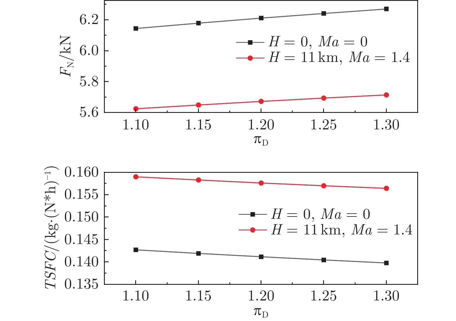
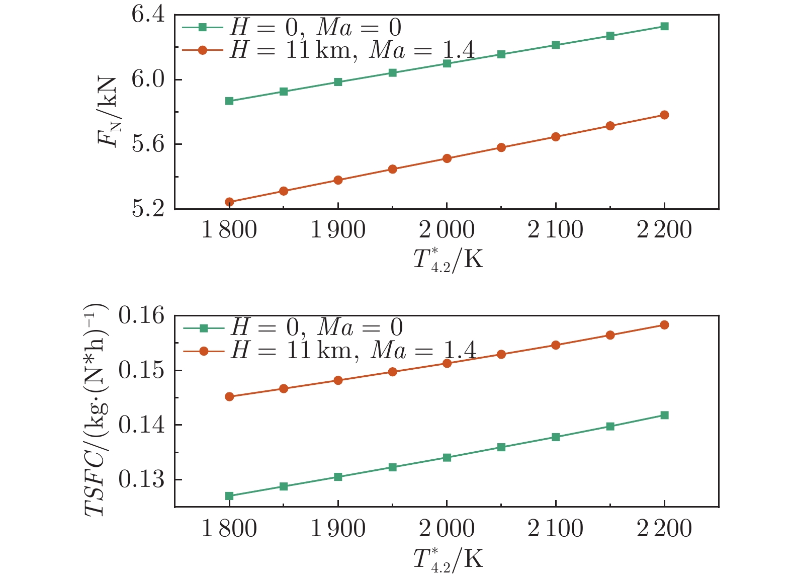
Abstract:
A parallel configuration of a separate exhaust turbine based continuous detonation combined engine is proposed, in which a high temperature and high pressure air mass is induced from the exit of the turbine-based high pressure compressor to supply the detonation combustor for pressurized combustion to increase the overall engine thrust. The overall performance analysis model was established for the combined engine, and the optimization of the cycle parameters at two different design points (
H = 0 and
Ma = 0 at the takeoff point in standard atmospheric conditions at sea level,
H = 11 km and
Ma = 1.4 at the usual flight point at high altitude) was focused on according to the established model. The results show that the combined engine thrust increases with the increase of the detonation combustor exit temperature, while the fuel economy decreases significantly, each 100 K increase in the detonation combustor exit temperature, the thrust increase of about 1.96% under the ground design point, specific fuel consumption increased by about 2.9%, the thrust increase of about 2.56% under the high altitude design point, specific fuel consumption increased by about 2.26%; The larger the pressurization ratio of the detonation combustor pressurized combustion, the better the thrust performance and fuel economy of the combined engine, for every 0.1 times increase in the detonation combustor pressurization ratio, the increase in thrust at ground design point is about 1.03% and the decrease in specific fuel consumption is about 1.02%, and the increase in thrust at high altitude design point is about 0.8% and the decrease in specific fuel consumption is about 0.81%; The increase in the ratio of the gas induced from the turbine base to the detonation combustor (defined as the split fraction in the text) can improve the engine thrust performance, but the specific fuel consumption will also increase, the existence of the engine thrust performance to achieve optimal design split fraction, the optimal design split fraction of 0.3 at ground design point, the optimal design split fraction of 0.5 at high altitude design point.