基于线化方程的声传播计算方法研究

Computational methods for acoustic propagation based on linearized equations

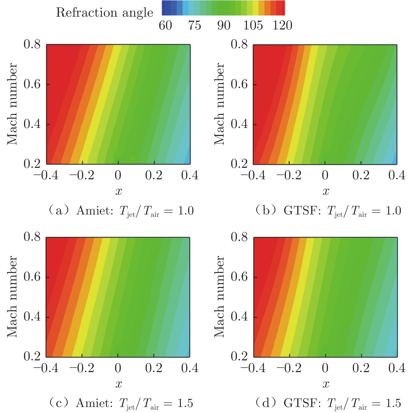
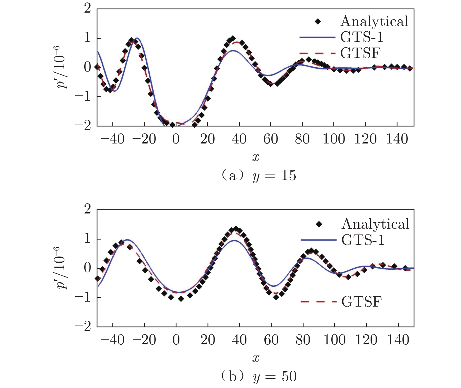
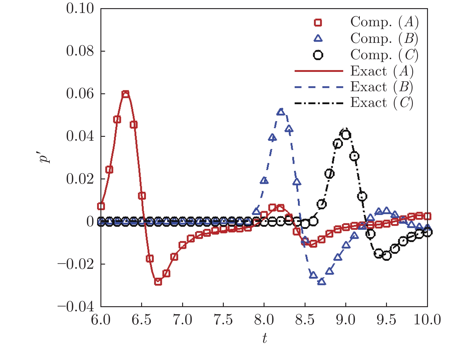
  • 摘要: 复杂流场如剪切层、旋涡等会改变气动噪声的传播特性,引起折射、反射和散射等现象,对声源识别、测量产生影响。基于线化方程的声传播计算方法是研究声波在复杂流场中传播的重要手段。本文针对非均匀流中声传播计算存在的问题,介绍了近年来课题组开展的研究工作:提出了改进梯度项抑制方法,以抑制基于线化方程模拟声波穿过剪切层时出现的数值不稳定波;发展了适用于线化方程的基于Boltzmann模型的有限体积法通量计算格式,以模拟声波在包含复杂外形流场中的传播问题;发展了简化的线化格子Boltzmann方法,改善了格子Boltzmann方法模拟声传播时内存占用大的问题;研究了剪切层对声源定位的影响规律,建立了定位误差随射流马赫数、斯特劳哈尔数变化的数学模型,为提高实验测量精度提供参考。

     

    Abstract: Complex flows such as shear layers and vortices can change the propagation characteristics of aerodynamic noise, resulting in phenomena of refraction, reflection, and scattering, which have an impact on acoustic source measurement and identification. The linearized equation-based algorithm is an important tool for simulating the propagation of acoustic waves in complex flows. This paper briefly outlines the research carried out by our group in recent years to address the challenges associated with acoustic propagation in non-uniform flow. Specifically, we propose an improved gradient term suppression method to mitigate numerical instability when calculating acoustic wave propagating through shear layers using the linearized equations; develop a Boltzmann model-based flux solver under the finite volume method for the linearized equations to simulate acoustic wave propagation in flow fields containing complex geometries; establish a simplified linearized lattice Boltzmann method to reduce the computational memory requirements when using the lattice Boltzmann method; and evaluate the influences of shear layer characteristics on sound source localization, and establish a mathematical model of localization error with jet Mach number and Strouhal number to provide reference for improving the experimental measurement accuracy.

     

/

返回文章
返回