多通道聚焦激光差分干涉法测量高超声速边界层不稳定性研究

Hypersonic boundary-layer instability measurement using multi-point focused laser differential interferometry

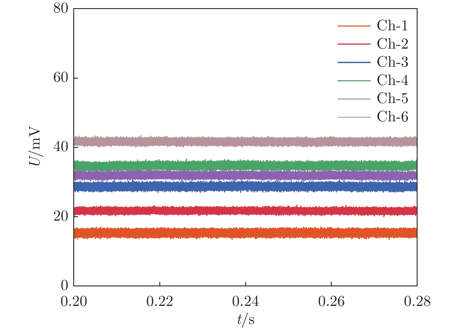
  • 摘要: 聚焦激光差分干涉仪(Focused Laser Differential Interferometry,FLDI)已经被广泛应用于高超声速边界层转捩研究的空间测量。但是,目前国内使用的FLDI系统每次只能测1或2个空间点的密度变化,不能高效率地开展边界层内沿流向或法向的实验测量,且两次风洞实验测点之间的密度脉动信号不能进行有效地相关性分析。本文设计和搭建了一套多通道FLDI测量系统,可以在单次风洞运行周期内同时获得高超声速边界层内多个测点的不稳定波特征。基于华中科技大学Φ 0.25 m马赫6高超声速Ludwieg管低噪声风洞,在来流单位雷诺数为1.19 × 107 m−1工况下,本文将多通道FLDI测量系统应用于尖锥边界层不稳定性的测量研究。实验表明,多通道FLDI系统成功地测量到高超边界层内主频在316.4 kHz~322.3 kHz区间典型的第二模态不稳定波,该频率范围与相同测点位置处PCB传感器测得的第二模态不稳定波主频319.3 kHz吻合较好;进一步对基于多通道FLDI系统获得的密度脉动数据开展互相关性分析,发现相邻测点间求得的不稳定波相速度相同,具有尖锥标模边界层内第二模态不稳定波传播速度特征,验证了多通道FLDI测量结果的可靠性。多通道FLDI系统具有效率高、成本低、准确性高、空间分辨率高等优点,适合用于高超声速边界层不稳定性和感受性机制等问题研究。

     

    Abstract: Focused laser differential interferometer (FLDI) has been widely used in the spatial measurement of hypersonic boundary layer instability. However, at present, the FLDI system used in China can only measure the density change of one or two spatial points at a time, and the experimental measurement along the streamwise direction or normal direction in the boundary layer cannot be carried out efficiently, and the correlation of the density fluctuation signal between the two measuring points obtained from two wind tunnel runs is poor. In this work, a setup of multi-point FLDI measurement system is designed and built, which can simultaneously obtain the second mode instability waves characteristics of multiple measuring points in the hypersonic boundary layer in a single wind tunnel operation period. Based on the Φ 0.25 m low noise Mach 6 hypersonic Ludwieg tube wind tunnel in Huazhong University of Science and Technology (HUST), the instability waves measurement experiment of a sharp cone’s boundary layer with a freestream Reynolds number of 1.19 × 107 m−1 is carried out by using the multi-point FLDI measurement system. The experimental results show that the multi-point FLDI system successfully captures the typical second mode instability waves with the main frequency in the range of 316.4 kHz~322.3 kHz, which is agree with the main frequency 319.3 kHz of those measured by a PCB sensor at almost the same measuring point. Furthermore, through the cross-correlation analysis of the density fluctuation data obtained based on the multi-point FLDI system, it is found that the phase velocity of the instability waves between the adjacent measuring points is the same, which is consistent with the propagation velocity characteristics of the second mode instability waves in the boundary layer. The experimental results verify the data obtained by multi-point FLDI are quiet reliable. Above all, the multi-point FLDI system has the advantages of high efficiency, low cost, high accuracy and high spatial resolution, so it is expected to be applied to the basic research investigation in the future, such as hypersonic boundary layer instability and receptivity mechanism.

     

/

返回文章
返回