Φ0.6 m低噪声实验平台马赫6流场校测和尖锥不稳定波测量

Mach 6 freestream calibration of Φ0.6 m low-level-noise experimental platform and measurement of instability waves of sharp cone

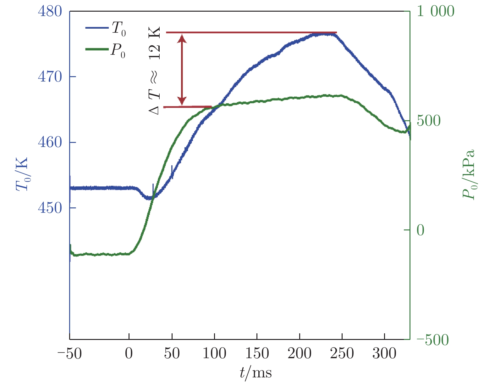
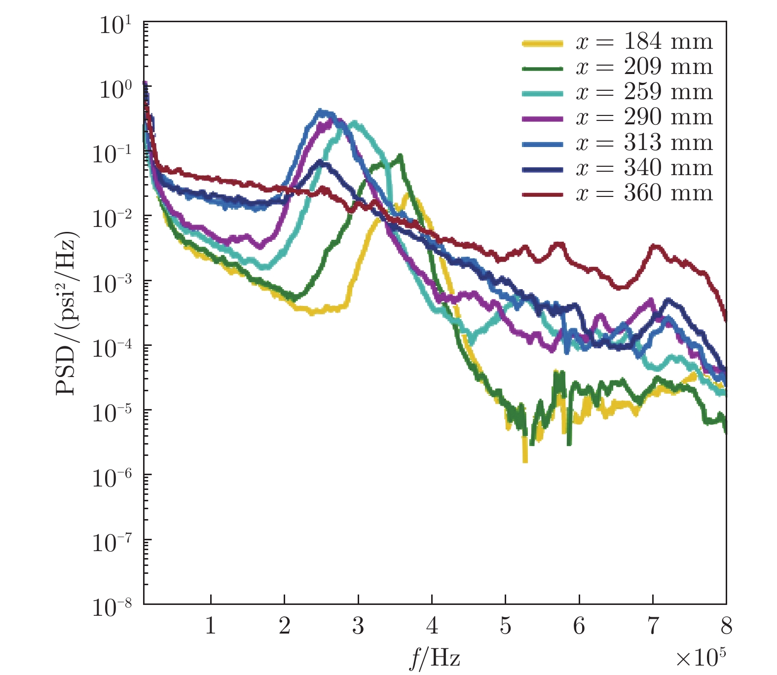
  • 摘要: 地面实验是空气动力学研究的重要手段之一,湍流/转捩实验对风洞设备流场品质要求高。空天飞行空气动力科学与技术全国重点实验室基于Ludwieg管设计原理,采用大口径快速开启阀门(简称快开阀)技术,建设了Φ0.6 m口径、适合开展湍流/转捩机理研究的低噪声高速实验平台(简称SKLA-TT1)。本文首先简要介绍了SKLA-TT1的组成,重点介绍了大口径快开阀的启动过程,实验测得快开阀的启动时间约为19 ms;之后使用皮托耙和皮托探头对SKLA-TT1实验段的自由来流进行校测。结果表明,实验平台有效运行时间约为130 ms,并且采用快开阀主控的Ludwieg管实验平台可以获得良好的流场品质;流场校测数据显示,来流马赫数分布品质优良,且在单位来流雷诺数8.0 × 106~25.0 × 106/m范围内,自由来流压力脉动幅值为0.36~0.56%,达到了低噪声水平,适用于开展高速湍流/转捩等空气动力学关键基础科学问题的实验研究。尖锥模型压力脉动实验结果显示,边界层中存在高频第二模态扰动,第二模态沿着流向先不断增长,然后逐渐消失并出现湍流特征。

     

    Abstract: Ground experiment is one of the important means of aerodynamics research. For experimental investigations of transition and turbulence, the wind tunnels should keep a low level of freestream noise. Utilizing fast-acting valve with large diameter and following the conception of Ludwieg tubes, the State Key Laboratory of Aerodynamics constructed a Φ0.6 meter low-level-noise hypersonic experimental platform (SKLA-TT1 for short), which is suitable for conducting researches on turbulent and transition mechanisms. Firstly, the composition of SKLA-TT1 is briefly introduced, together with a detailed description of the fast-acting valve. It is found that the start-up time of the fast-acting valve is about 19 ms. Secondly, preliminary freestream calibration of the SKLA-TT1 is conducted using pitot rakes and pitot tubes. Results show that the effective running time of the experimental platform is about 130 ms. Moreover, SKLA-TT1 controlled by the fast-acting valve shows high flow quality. The Mach 6 of SKLA-TT1 has excellent flow uniformity and flow quality, the normalized RMS pitot pressure fluctuations are 0.36~0.56 % in the test region for unit Reynolds number from 8.0 × 106 to 25.0 × 106/m. Thus, this facility shows promising potential in experimental studies on key aerodynamic fundamental scientific issues such as hypersonic turbulence and transition. The wall pressure signals of a sharp cone show that there are the second mode waves with high frequencies in the boundary layer. When the location moving downstream, the second mode waves first grow and then gradually disappear into turbulence-like power special denticity.

     

/

返回文章
返回