Abstract:
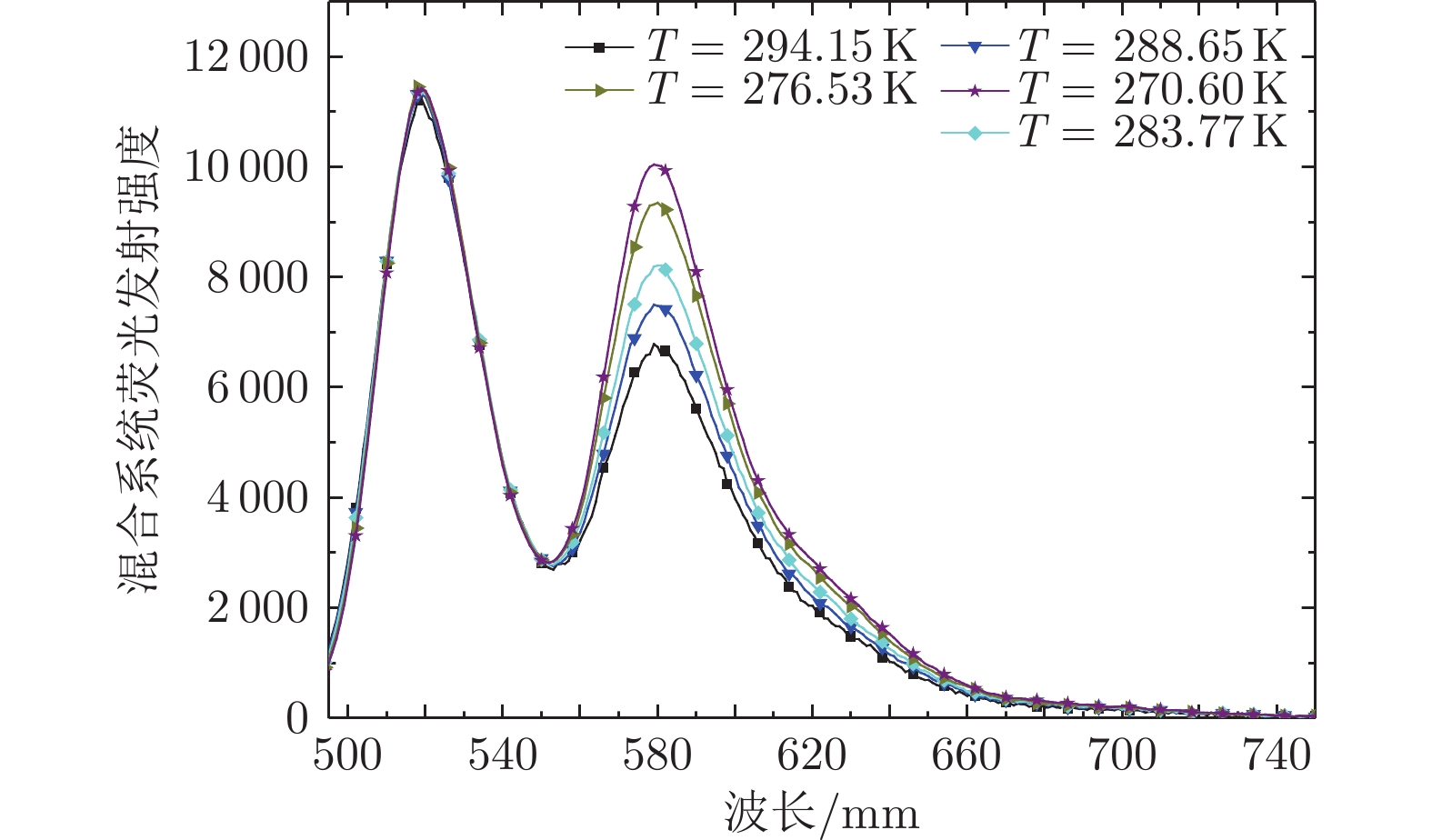
The mechanism of droplet icing on superhydrophobic surfaces is an important subject of developing passive anti-icing strategies. Dynamic properties of phase change and thermal parameters during droplet icing on different superhydrophobic surfaces are important factors for the characterization of surface anti-icing abilities. Based on the two-color planar laser induced fluorescence (2c−PLIF) principles, a new visualization method for droplet freezing on superhydrophobic surfaces is proposed in this work. Dynamic thermometry of the liquid phase and water-ice interface tracing during small droplet freezing on the subcooled porous coating surface are studied. According to the temperature gradient analysis, the dynamic water-ice interface, droplet cross-section, and the temperature profile of the illuminating surface are calculated and presented. Finally, the influence of heat transfer processes on the freezing behavior of ambient-temperature droplets icing on the porous coated surfaces is also addressed.