飞秒激光光谱技术在燃烧领域的应用

Application of femtosecond-laser spectrum technology in combustion field

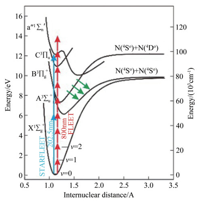
  • 摘要: 基于飞秒激光的燃烧诊断技术,可实现燃烧场温度、速度、组分浓度等参数的在线测量。作为一种有效的诊断工具,飞秒激光诊断技术在燃烧领域中有着广泛的应用前景,将在提高燃烧效率和降低燃烧排放等方面发挥越来越重要的作用。本文通过综述飞秒多光子激光诱导荧光技术、飞秒激光成丝诱导非线性光谱技术以及飞秒激光电子激发示踪测速技术等飞秒激光在燃烧领域的具体应用实例,概括介绍了飞秒激光燃烧诊断技术的发展。在此基础上,对飞秒激光燃烧诊断技术在未来的发展潜力进行了分析与讨论,为相关研究人员提供参考。

     

    Abstract: Based on the femtosecond laser combustion diagnostic technology, the on-line measurements of temperature, velocity and component concentration in combustion flowfield can be realized. Femtosecond laser diagnostic technology is an effective diagnostic tool and has wide applications in combustion field. It plays an important role in improving combustion efficiency and reducing combustion emissions. In this paper, the authors reviewed several applications of femtosecond laser diagnostic technology in combustion field, such as femtosecond multi-photon laser-induced fluorescence (fs-MPLIF), filament-induced nonlinear spectroscopy (FINS) and femtosecond laser electronic excitation tagging velocimetry (FLEET). Then the authors summarized the development of femtosecond laser combustion diagnostic technology. On this basis, the prospect of the femtosecond laser combustion diagnostic technology in the future was analyzed and discussed, which would provide reference for the relevant researchers.

     

/

返回文章
返回