磁场对疏水表面铁磁流体液滴浸润性的影响及调控

Influence and regulation of magnetic field on wettability of ferrofluid droplet on hydrophobic surface

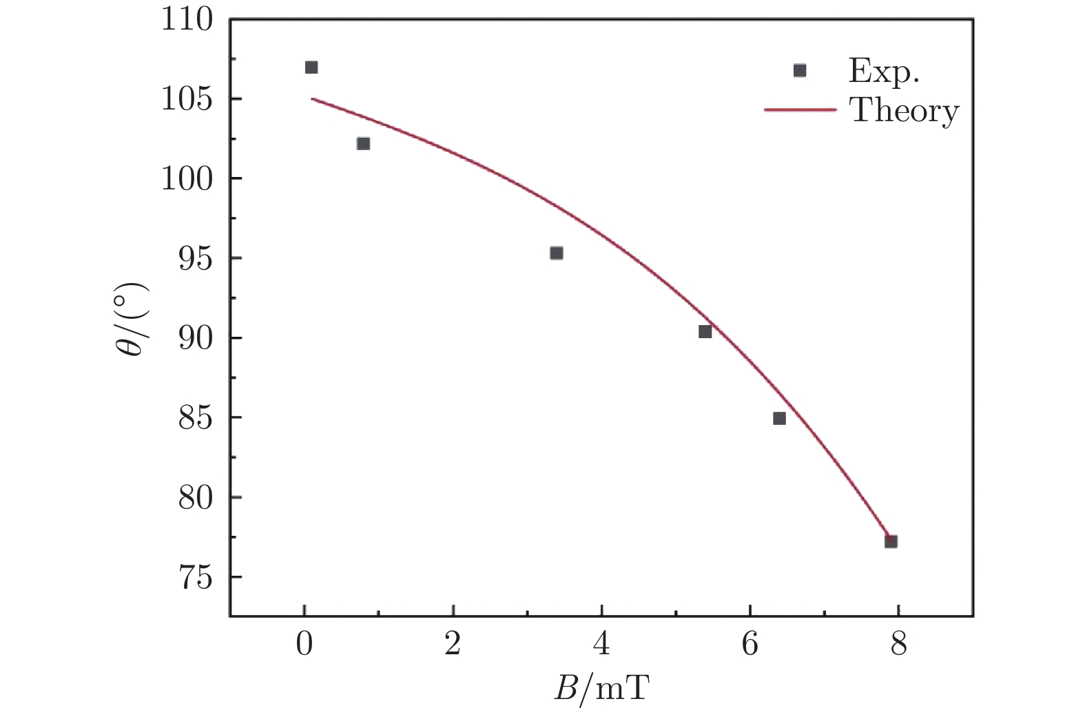
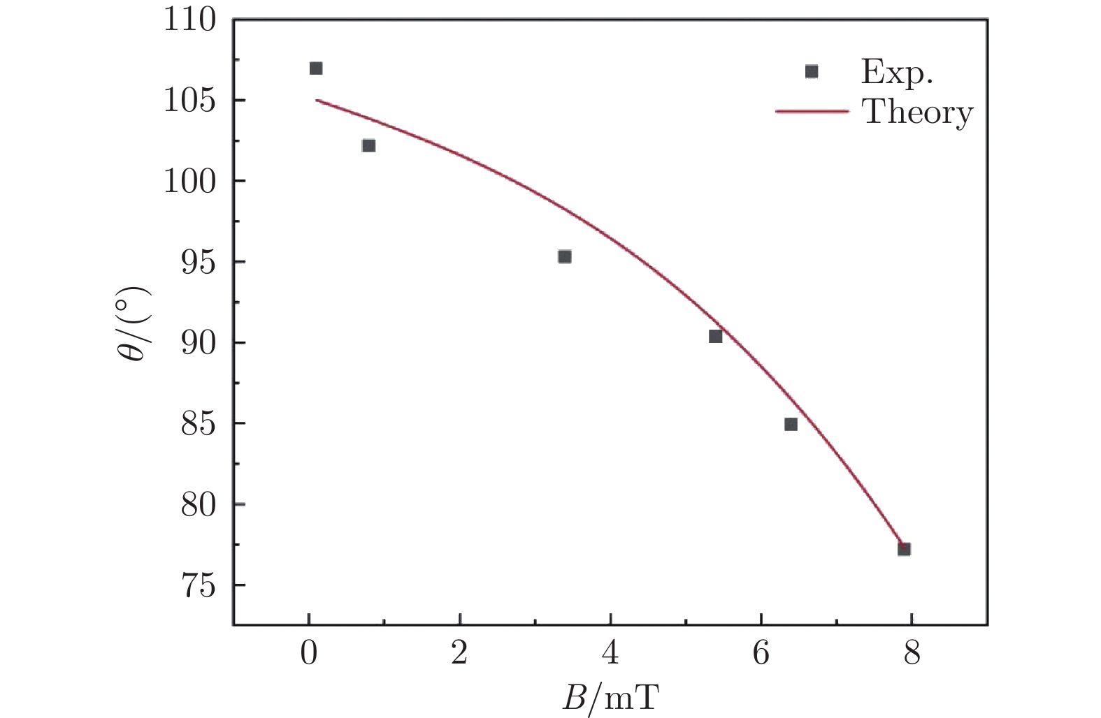
  • 摘要: 利用铁磁流体液滴在磁场作用下的可控动态行为机制,可实现微小部件甚至气泡等的定向输运,这在微流控、抗结冰、滴状凝结及矿物浮选等领域都具有广泛的应用前景。然而,目前对于铁磁流体在超疏水表面的场辅助润湿行为机理、影响因素及调控方法等尚不明确。本文实验研究了在外加磁场作用下,水基铁磁流体在非磁疏水表面的润湿行为和液滴形态动态演变过程。在垂直方向磁场的激励下,通过控制磁感应强度及铁磁流体液滴体积,实验观测液滴的接触线直径和接触角变化。结果表明:在弱磁场作用下,铁磁流体液滴表观接触角由90°以上降至90°以下;在磁场作用下,铁磁流体液滴中的纳米磁性颗粒沿磁力线方向形成链状结构,液滴接触角发生变化。根据接触角、接触线直径、液滴高度和液滴体积对铁磁流体液滴润湿行为进行量化,采用标度分析方法建立磁场与接触角之间的理论预测关系。本文研究结果有助于理解磁场调控下铁磁流体在超疏水表面的可逆浸润性机制。

     

    Abstract: The controllable dynamic behavior of ferrofluid droplets under the magnetic field can be used to realize directional transport of small droplets or bubbles in microfluidic devices, anti-icing, droplet condensation, mineral flotation and other fields. At present, the mechanism, influencing factors and regulation methods of the field-assisted wetting behavior of magnetic fluid on the superhydrophobic surface are not clear. The wetting behavior and droplet shape evolutions of water-based ferrofluid on a hydrophobic surface under an external magnetic field are studied experimentally. Under the vertical magnetic field, the effects of the magnetic induction intensity and ferrofluid droplet size on the droplet wetting behaviors are investigated, and the contact line diameter and contact angle of the droplet are measured experimentally. The experimental results show that the apparent contact angle of the ferrofluid droplets decreases from above 90° to below 90° under the action of the weak magnetic field. Under the magnetic field, the nanomagnetic particles in the magnetic fluid form a chain structure along the direction of the magnetic field line and the droplet contact angle changes. Through a scaling analysis, the theoretical relationship of the magnetic field and the contact angle is established and it successfully predicts our experimental results. The work is valuable for controlling the wetting properties of the ferrofluid droplets on the solid surfaces under the magnetic field.

     

/

返回文章
返回