贴壁二维方柱绕流对壁面摩擦应力的影响

Effect of flow around a wall-mounted 2D square cylinder on WSS in a TBL

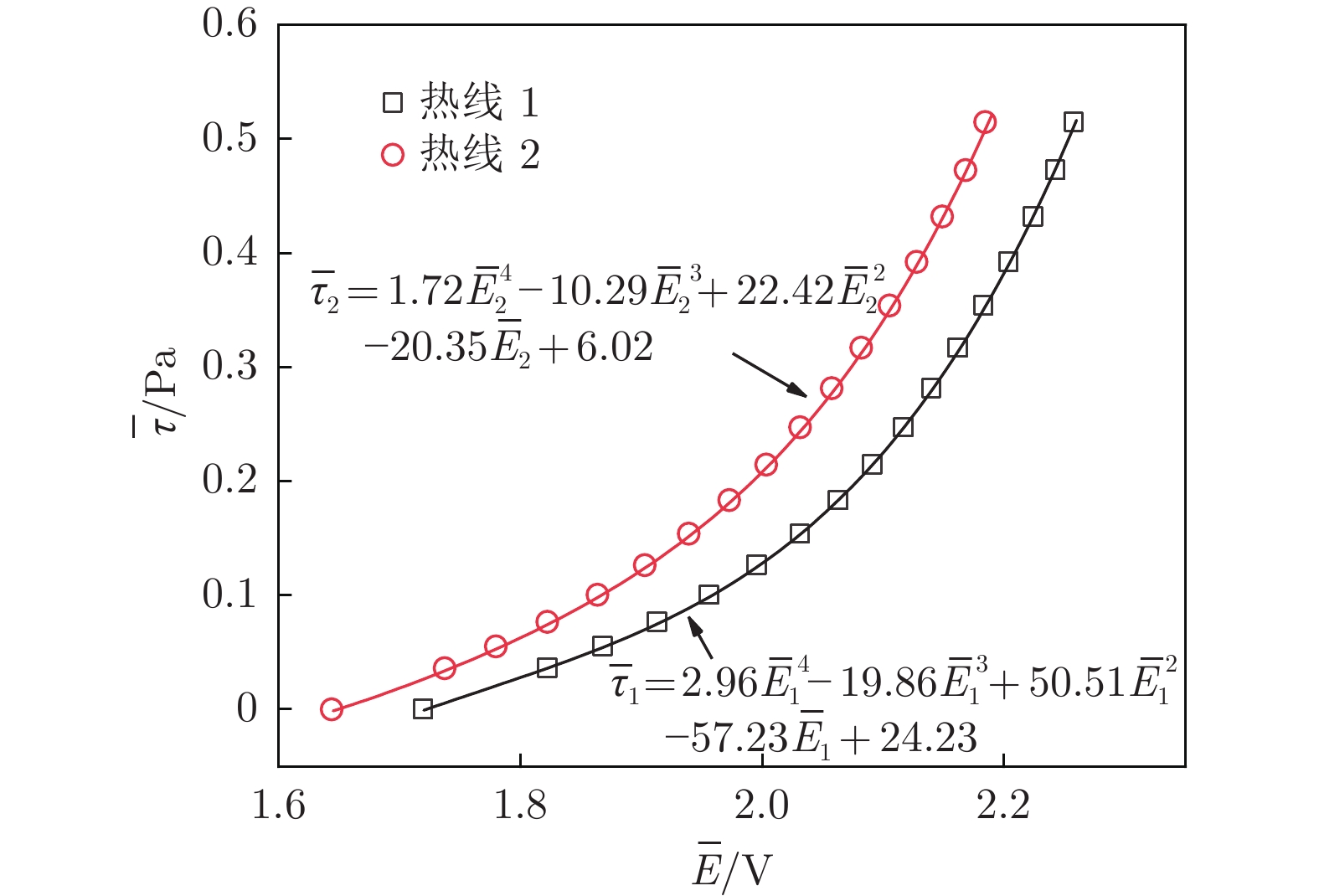
  • 摘要: 利用TR–PIV与平行双丝热线,对平板边界层内的贴壁二维方柱绕流流场和壁面摩擦应力的关联进行了实验研究。主要关注方柱下游大尺度流动结构的运动对近壁面流向平均速度零点处摩擦应力的影响(基于方柱宽度与来流风速定义的雷诺数固定为1.1 × 104)。研究表明,贴壁二维方柱绕流产生了2种典型的流动结构:一为向壁面靠近并接触壁面的近壁流动结构,本文称“I涡”;一为平行壁面沿流向运动的流动结构,本文称“Ⅱ涡”。Ⅰ涡、Ⅱ涡的出现改变了壁面附近流动速度的大小和方向,影响了测点壁面摩擦应力:增大了流向速度梯度,导致摩擦应力陡增;减小了流向速度梯度,导致摩擦应力锐减;改变了摩擦应力方向。本文研究结果可为理解表面冲蚀、污染物聚集、近壁面湍流耗散等问题的机理提供参考。

     

    Abstract: In this paper, the effect of flow around a wall-mounted 2D square cylinder on WSS (Wall Shear Stress) in a TBL (Turbulent Boundary Layer) is studied using TR–PIV and hot wires. The Reynolds number, defined by the cylinder width and the free stream velocity, is fixed at 1.1 × 104. There exist two types of large-scale flow structures, i.e., vortex I which denotes those moving towards the wall, and vortex II which denotes those moving downstream. The flow structures have significant effects on the flow and WSS: increasing the streamwise velocity gradient that results in a sharply increased WSS; reducing the streamwise velocity gradient that results in a sharply decreased WSS; and changing the WSS direction. The study is helpful to understand the physics of surface erosion, pollutant accumulation, flow energy loss, etc.

     

/

返回文章
返回