Abstract:
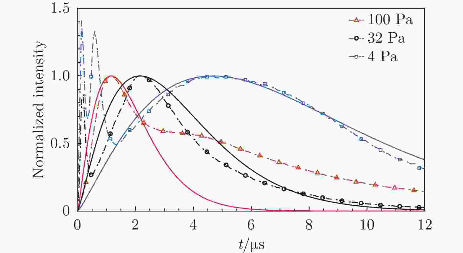
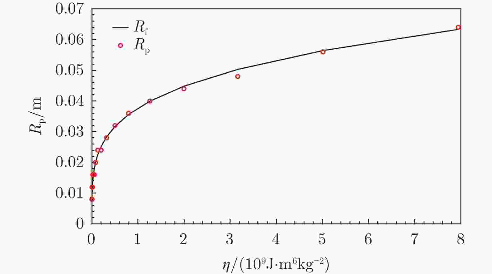
Flash radiation is one of the typical phenomena produced in hypervelocity impacts. The study of the radiation mechanisms and evolution law of the impact flash is important for building the similarity relationship between the different scales and probing the dynamics of the hypervelocity impact. In the low pressure atmosphere, the flash radiation mechanisms in aluminum-aluminum hypervelocity impacts are multiplex. One of the radiation processes standing for tens microsecond duration may result from the ablation of tiny fragments. Analysis of impact experiments shows that the characteristics of the processes are close to with the description of the Taylor point explosion model, but further study of the radiation distribution is still lacking. In this paper, the evolution characteristics of the impact flash produced in hypervelocity impact are discussed by considering the effect of the radiation transfer in the impact products. It is found that there exists a peak structure in the time evolution of the radiation intensity, which presents a proportional law showing that the position of the radiation peak depends on the energy and density of the wave shock. The proportional law can be used to establish the relation between the chamber pressure and the radiation peak time of the shock wave. In addition, this work puts forward an approximate solution of the radiation evolution, which is derived from the radiation transfer theory and shows agreement with the results detected by experiments. The consistent results indicate the tens-microsecond-standing peak appeared in the impact flash is generated by the expansion of the shock wave, and the radiation intensity depends mainly on the expansion area and the dynamical evolution of the states of the gas distributed in the shock wave. It provides a theoretical reference for the research of the evolution law and the phenomena of the hypervelocity impact flash.