惰性气体−空气混合电弧流场特性研究

Study on flow field characteristics of inert gas-air hybrid arc

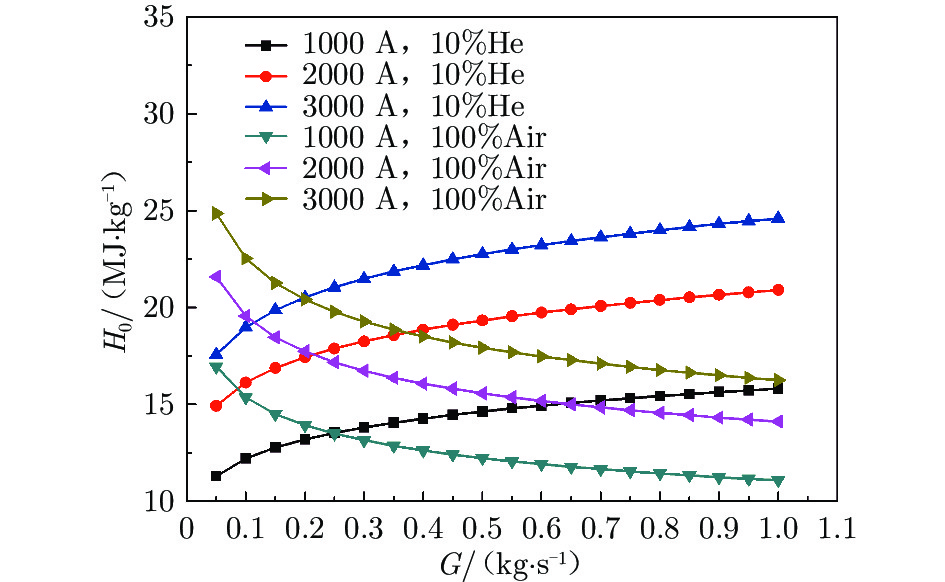
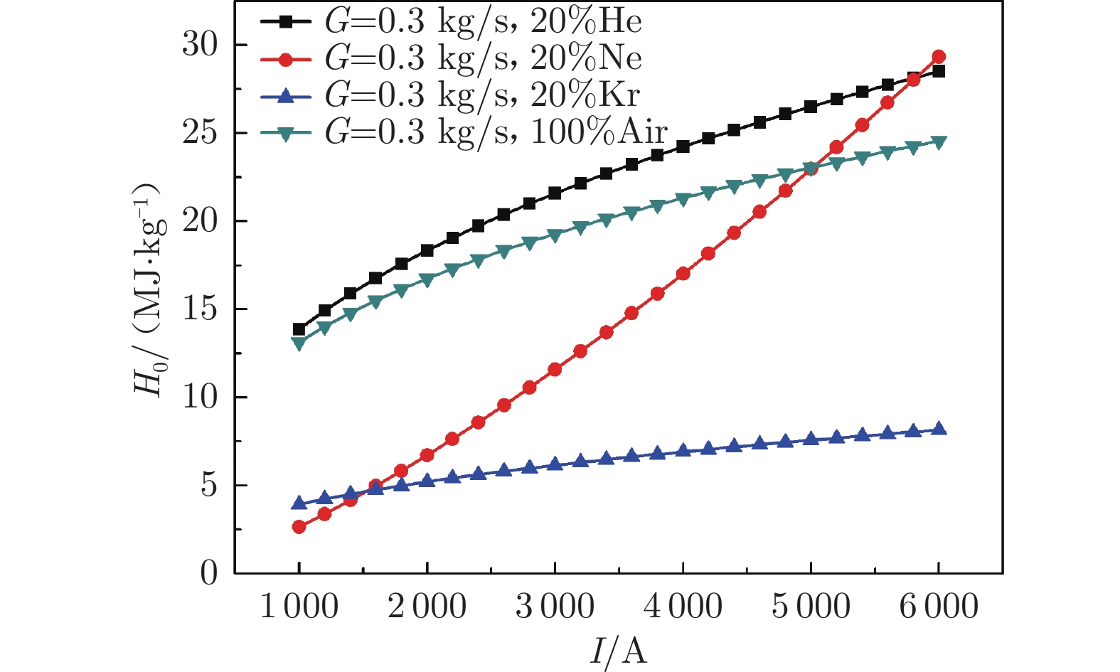
  • 摘要: 理论上小流率惰性气体添加到大流率空气电弧中不会影响对热防护材料的性能评估。采用控制电弧电流和惰性气体质量流率的方法,在电弧风洞实验平台上研究了分别在空气电弧中添加氦气(He)、氖气(Ne)、氩气(Ar)、氪气(Kr)等惰性气体−空气混合电弧的特性,测量了超声速喷管出口驻点热流密度、驻点压力和出口气流平均焓值等参数,分析了电弧电流、气体总质量流率、惰性气体质量流率占比等因素对流场特性的影响。实验结果表明:氦气质量流率占比11.46%、总质量流率0.2 kg/s、电弧电流1300 A条件下的氦气−空气混合电弧的出口气流平均焓值和热流密度分别比纯空气电弧增加了6.07%和1.02%;氖气、氩气和氪气等惰性气体−空气混合电弧在超声速喷管出口的焓值和驻点压力均低于纯空气电弧,且随混合气体总质量流率和电弧电流的增大而增大,其增大程度与添加气体介质的种类和质量流率占比有关。

     

    Abstract: Adding a small mass flow rate of inert gas into the air arc flow field does not affect the performance evaluation of the thermal protection materials. In order to obtain the flow field characteristics of the inert gas-air hybrid arc, the flow field parameters of the supersonic nozzle exit were studied by controlling the arc current and inert gas mass flow rate in an arc heated wind tunnel. The experimental results show that the enthalpy and stagnation point heat flux of the helium-air hybrid arc are 6.07% and 1.02% higher than that of the air arc flow field respectively under the condition of helium mass ratio of 11.46%, total mass flow rate of 0.2 kg/s and arc current of 1300 A; the enthalpy and stagnation point pressure of the hybrid arc with inert gases such as neon, argon and krypton are lower than that of the air arc at the exit of the supersonic nozzle, and increase with the increase of mixed gas flow rate and arc current. The increase degree is related to the proportion of the added gas medium and total mass flow rate.

     

/

返回文章
返回