旋流式气泡雾化喷嘴喷雾特性实验研究

Experimental study on the characteristics of swirl effervescent atomizer

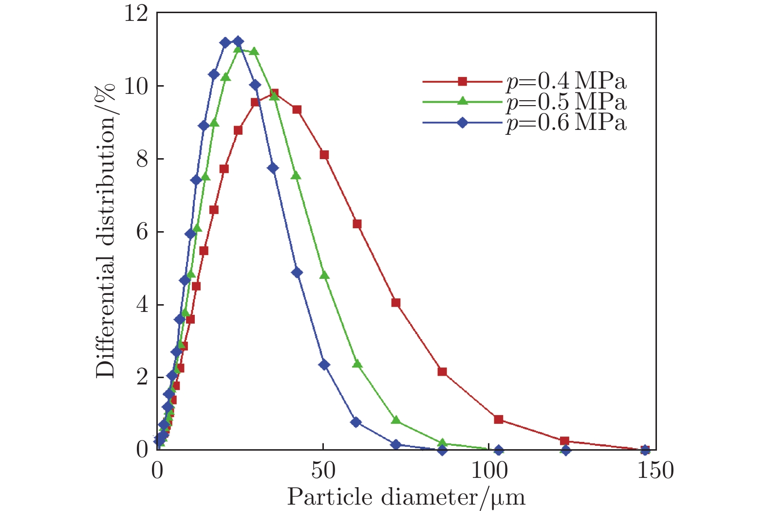
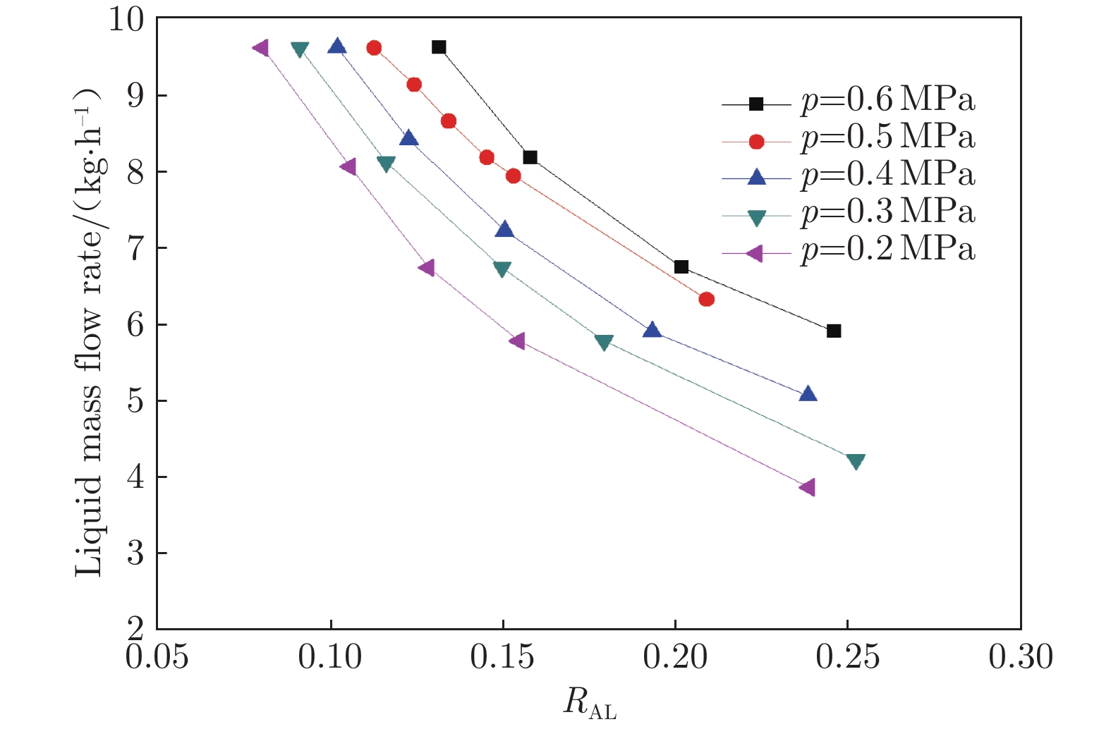
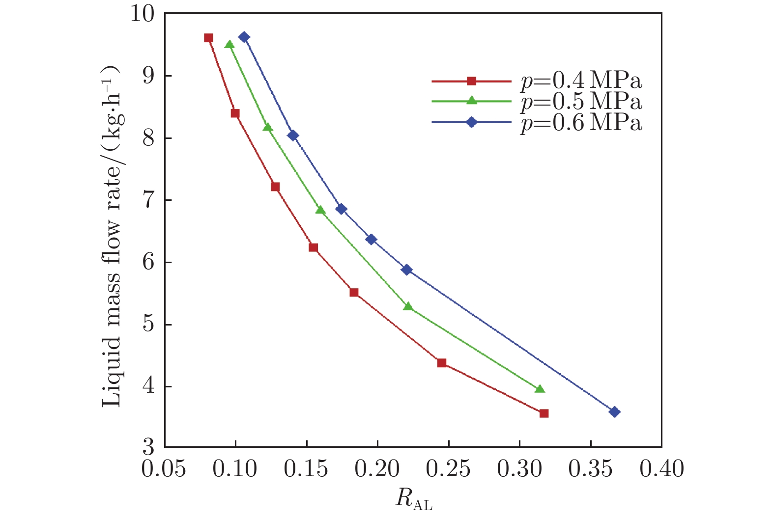
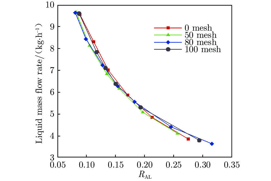
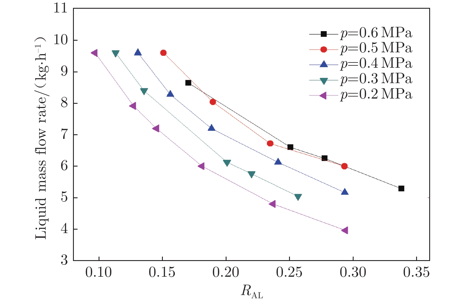
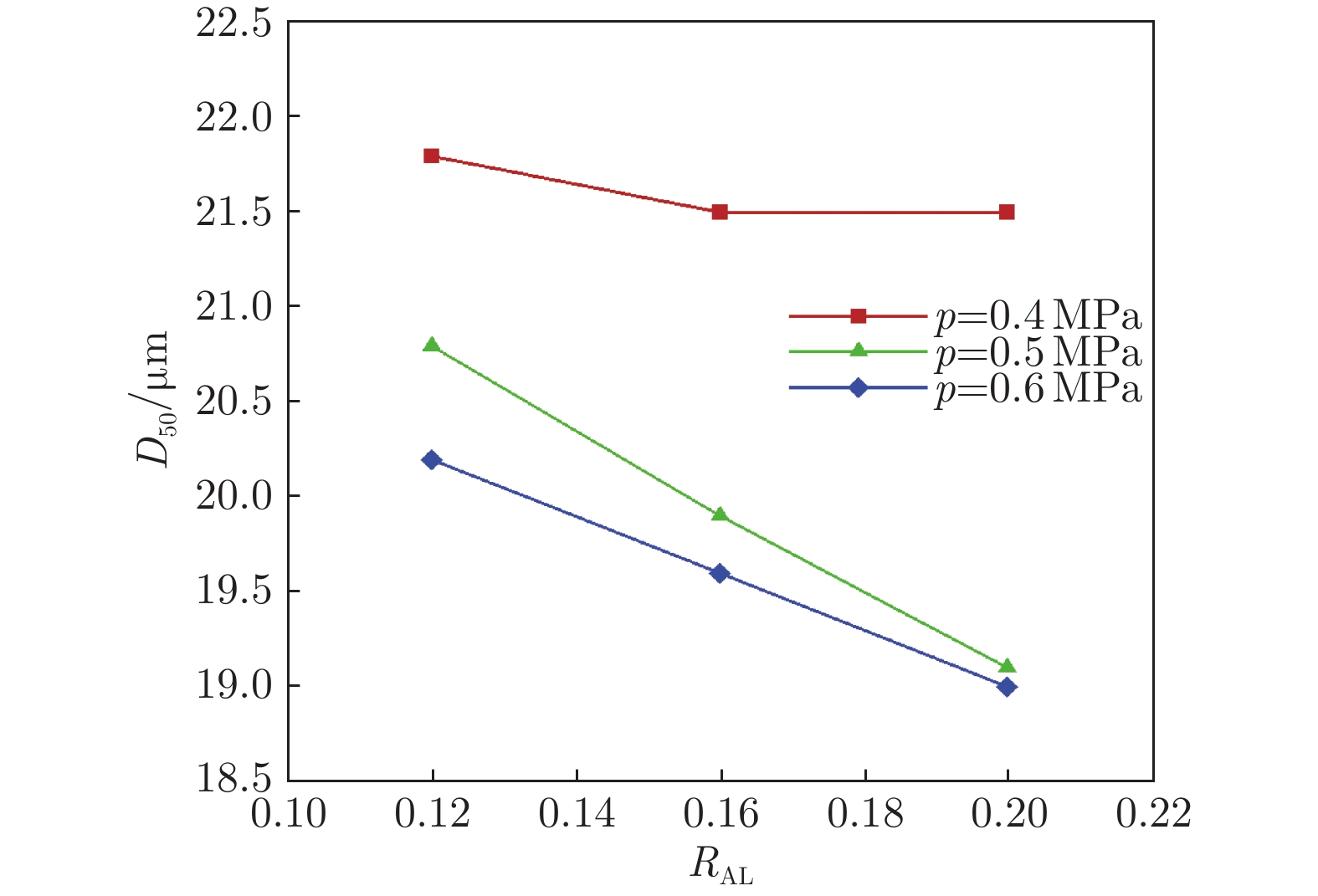
  • 摘要: 与常规压力雾化、气动雾化相比,气泡雾化具有高效、经济和环保等优点。针对一种可变喷头旋流式气泡雾化喷嘴进行了实验研究,探讨了工作参数、喷嘴孔型、切割丝网目数(孔径)等因素对喷嘴流量、喷雾特性的影响规律。研究结果表明:不同孔型喷嘴的流量特性趋势基本一致;相同工作压力下,气液比不同会导致喷嘴流量的变化;安装切割丝网基本不影响喷嘴的流量特性趋势,但在相同工况下会造成喷嘴流量减小3%~7%,且丝网孔径越小,减小幅度越大;喷雾液滴粒径分布呈单峰形式,且随着工作压力或气液比的增大,喷雾液滴的中位粒径会有不同程度的减小;相同喷雾能耗下,异形(方形、椭圆形)喷孔更有助于提高喷雾性能;丝网有利于提高喷嘴雾化性能,但需综合考虑喷嘴孔型、工作压力等因素选择丝网孔径;此外,安装切割丝网会在一定程度上降低喷雾主流轴向速度。

     

    Abstract: Compared with the conventional pressure atomization and pneumatic atomization, effervescent atomization has the advantages of high efficiency, economy and environmental protection, which has attracted the attention of various fields. In this paper, a series of experiments were carried out on a variable nozzle internal swirling effervescent atomizer, and the effects of the working parameters, hole structure and mesh number on the flow and spray characteristics were discussed. The results show that flow characteristics of the atomizer with different hole structures are basically the same. The change of the air-liquid ratio results in the change of the liquid mass flow rate under the same working pressure. Flow characteristics are not affected by the cutting screen, while the addition of the cutting screen induces 3%–7% attenuation of the spay mass flow rate of under the same working condition, and the smaller the cutting screen aperture is, the greater the reduction of the spray mass flow rate is. The distribution of spray particles presents a single peak structure, and the median mean diameter of the spray decreases with the increase of the working pressure or air-liquid ratio. Under the same spray energy consumption, the special-shaped hole structure is more helpful to improve the spray performance. The cutting screen is beneficial to the spray performance, but the choice of the mesh aperture should be made based on the atomizer structure, the working pressure and other comprehensive judgment; in addition, the addition of the cutting screen reduces the axial velocity of the spray mainstream to a great extent.

     

/

返回文章
返回